HI ionisation rate of IGM required by simulations

ionisation rate









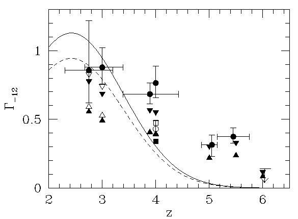
Comparison between the estimated HI metagalactic photoionisation rate &Gamma-12, in units of 10-12s-1, from QSO sources and the rate required by simulations to match the measured mean Ly&alpha flux. The solid and dashed lines are estimates for the contribution from QSOs by Haardt & Madau (1996), for two different QSO spectral shapes. (From Meiksin & White 2004.)

Return to UV background constraints