Back to UVB constraints

 
 

Meiksin, Avery
Constraints on the ionization sources of the high-redshift intergalactic medium.
Monthly Notices of the Royal Astronomical Society 356 (2), 596-606.
doi: 10.1111/j.1365-2966.2004.08481.x

 

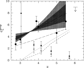
Metagalactic emissivity (proper) at the Lyman edge (in units of 1026 erg s-1 Hz-1 Mpc-3), as a function of redshift. The data points (filled circles and upper limit point) are the emissivity values required in a ΛCDM model of the IGM to match the measured values of the transmitted Lyα flux through the IGM. The shaded regions show the 1σ (dark) and 2σ (light) ranges for a power-law fit (solid line) to the evolution in emissivity. The long-dashed line shows the required source emissivity, allowing for a boost in the total emissivity by 50 per cent from diffuse emission by the IGM. The squares show the estimated contribution from QSOs assuming either a PLE model (filled squares) or a PDE model (open squares) for the QSO luminosity function (see Section 3 of Meiksin 2005). The short-dashed and dotted lines show the deficit left by these (respective) QSO models from the required source emissivity (long-dashed line). The deficit must be made up by sources other than the QSOs. (A metagalactic spectral index of αMG= 1 has been assumed.)


 
up Back to top